CORDIC算法简介
在信号处理领域,CORDIC(Coordinate Rotation Digital Computer,坐标旋转数字计算机)算法具有重大工程意义。CORDIC算法由Vloder于1959年在设计美国航空导航扩展系统时提出,主要用于解决导航系统中三角函数、反三角函数和开方等运算的实时计算问题。
1971年,Walther将圆周系统、线性系统和双曲线系统统一到一个CORDIC迭代方程里,从而额提出了一种统一的CORDIC算法形式。
CORDIC算法的核心是利用加法和移位的迭代操作去替代复杂的运算,从而非常有利于硬件实现。CORDIC算法应用广泛,如离散傅里叶变换(DFT)、离散余弦变换(DCT)、离散Hartley变换、Chirp-Z变换、各种滤波以及矩阵中的奇异值分解。
在工程领域,可采用CORDIC算法实现直接数字频率合成器(DDS)、计算I/Q信号的幅度和相位。
01
CORDIC基本原理
我们假设在笛卡尔坐标系(也就是我们常见的XY直角坐标系)中,将点(x1,y1)旋转θ角度到点(x2,y2)的标准方法如下所示:

根据上图,我们利用高中学习的三角函数、圆方程和极坐标等中学知识,可以得到:

这被称为是平面旋转、向量旋转或者线性 ( 矩阵) 代数中的 Givens 旋转。
上面的式子,我们将大学二年级学习的线性代数知识拿出来,用矩阵的形式来表示,于是得到:

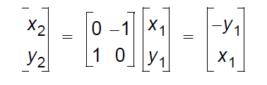
例如,我们做一个90°的相移,即θ=90:

这里注意cos和sin函数在直角坐标系下的物理意义,于是我们得到下面的图示。

上面的第一个式子,我们假设提出一个公因子cosθ,那么我们可以得到:

如果去除项,我们得到 伪旋转 方程式 :

即旋转的角度是正确的,但是x 与 y 的值增加cos-1θ 倍 ( 由于cos-1θ> 1),所以模值变大。
注意我们并不能通过适当的数学方法去除cosθ 项 , 然而随后我们发现去除项可以简化坐标平面旋转的计算操作。
怎么说呢?
在XY坐标系中,结合上面的伪旋转公式,我们可以用下图表示:

于是,我们得出以下结论:
经过伪旋转之后,向量 R 的模值将增加1/cosθ 倍。
向量旋转了正确的角度 , 但模值出现错误。
经过伪旋转后, 输出进行适当的幅度伸缩(1/cosθ),是不是就可以得到旋转后的坐标了。
来源链接:https://gongkong.ofweek.com/2021-03/ART-310009-11000-30488770.html