作者:陈德恒
据说数学家很痛恨物理学家,因为数学家辛辛苦苦推导出来的结论居然和物理学家猜出来的结论是一样的。当然这只是一个笑话,但的确身为应用工程师的我们,很多时候需要知道的应该是一个东西是怎么来的以及它的趋势,而不需要像科学家一样去完全推导他们。
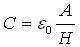
那让我们来看看3W原则,如下图所示:

保证线的中心距大于三倍线宽,就是我们通常所说的3W原则。其实严谨的来说,3W原则应该改成3H原则,这个H指的是走线与参考平面的距离,如图所示,当走线达到3H时,耦合到静态线上的边缘场已经非常少了,大部分的电磁场被包裹在了走线与回流平面之间。

这里大家要记得一个值,当走线达到3W的时候,串扰率大约在2%左右(近端串扰)。
可能有人不禁会问了,难道我不同的W,只要符合了3W原则,他们的串扰率都差不多吗?
没错,他们的串扰率还真是差不多的。当然,这是在我们平时FR4材料,阻抗控制在50欧姆的情况下。
如果W减小,两线的实际距离变近,串扰会变大,但是要保持50欧姆阻抗,走线必须更靠近参考平面,这样串扰会变小。一来一回之间串扰率变化是没有多少变化的。W变大的情况同理。
记住了3W时的串扰率,我们就只要知道走线的中心距与串扰率的变化关系是多少就能对走线之间的串扰进行估值了。
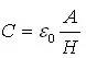
中心距离变化改变的不就是两线之间的互容与互感么?脑子里面是不是duang的冒出了一个这样的公式:

电容大小跟距离成反比,那是不是说距离增大一倍,串扰减小一半?
NONONO,

是平板电容的公式,但实际上我们的走线是立体的,应该是距离变成n倍,串扰变成1/n?。就像洛伦兹力与万有引力一样。

注意这里的距离指的都是中心距哦。
当然,实际的串扰还与损耗,反射,介电常数,耦合长度等因素有关。不过这样的一个估算的方法也足够应对大部分情况了。毕竟如第一章所说,大部分数字信号可是比我们想象中的要强壮的多呢。
来源链接:https://gongkong.ofweek.com/2021-05/ART-310003-11000-30498000.html